Biokemijska Forenzika

Overtraining syndrome Pretreniranost simptomi Oporavak sportaŔa Kronični umor u sportu MCT transporteri hs-CRP u sportu

Biokemijska Forenzika

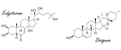
OTS (Overtraining Syndrome): Kada drenaža sustava proglasi stečaj šŸ§¬šŸ“‰

Većina sportaÅ”a i trenera brka umor s overtrainingom. Umor je prolazan; overtraining je biokemijski stečaj organizma. To nije stanje u kojem trebate ā€žstisnuti zubeā€œ, već stanje u kojem vaÅ”e tijelo doslovno počinje proždirati vlastito tkivo kako bi preživjelo. Overtraining Syndrome (OTS) nije samo "umor" ili "upala miÅ”ića&

By PREDRAG JAKOVLJEVIC
anabolička rezistencija starija dob vježbanje

Biokemijska Forenzika

ANABOLIČKA REZISTENCIJA: ZaÅ”to vaÅ”i miÅ”ići postaju ā€žgluhiā€œ na proteine? šŸ§¬šŸ›‘

Pazite na prehranu, trenirate, ali rezultati su sve slabiji? Možda niste umorni, nego ste biokemijski rezistentni. U zrelijoj dobi (45+), miÅ”ićna stanica razvija neku vrstu metaboličke tvrdoglavosti. Možete pojesti vrhunski steak, ali ako je signalizacija u kvaru, te aminokiseline zavrÅ”avaju u jetri, a ne u bicepsu. To je anabolička rezistencija

lock-1 By PREDRAG JAKOVLJEVIC
oporavak sportaŔa anabolički prozor prehrana nakon treninga glikogen resinteza ATP-a magnezij-glicerofosfat prednosti GLUT4 t

Biokemijska Forenzika

ANABOLIČKI VS. METABOLIČKI PROZOR: Biokemijska dekonstrukcija ā€žSvetog gralaā€œ oporavka

U sportskoj medicini, ā€žprozor prilikeā€œ je pojam koji često izaziva konfuziju. Dok fitnes industrija inzistira na hitnosti, moderna biokemija nas uči preciznosti. U svijetu sportske prehrane, rijetko je koja tema toliko kontaminirana poluinformacijama kao Å”to je ā€žAnabolički prozorā€œ. Dok jedni tvrde da miÅ”ići ā€žnestajuā€œ ako ne popijete shake unutar 15

By PREDRAG JAKOVLJEVIC
Biokemija sporta, oporavak miÅ”ića, veslanje ergometar, rukometni trening, citrulin malat rukomet. Sekundarne: mTOR signalizac

Biokemijska Forenzika

BIOKEMIJSKA DIVERGENCIJA: Veslački ergometar vs. Rukometni sprint – ZaÅ”to im je potreban različit ā€žRemontā€œ?

U vrhunskom sportu, pojam oporavak je često zloupotrijebljen. Većina sportaÅ”a misli da je jedan whey shake nakon treninga univerzalno rjeÅ”enje. Međutim, ako analiziramo metabolički stres kojem je izložen veslač u Osijeku na 2000m ergometra i rukometaÅ” u Varaždinu tijekom 60 minuta sprinteva i duela, vidjet ćemo dva potpuno različita biokemijska

By PREDRAG JAKOVLJEVIC